Achat maison 232 m2 Saint-Étienne-de-Montluc (44360), 11 pièces
Demander des infos sur ce bien

Saint-Étienne-De-Montluc (44360)

Maison 11 pièces - 233 m² Bien prestige

698 000 € *

Bien prestige
Visite Visite visite virtuelle du bien

Equipements de cette maison

  • 5 chambres 5 chambres
  • 3 salles d'eau 3 salles d'eau
  • 1 salle de bains 1 salle de bains
  • Exposition Sud Exposition Sud
  • Piscine Piscine
  • Cheminée Cheminée
  • Jardin de <br />2 533 m² Jardin de
    2 533 m²
  • Terrasse de <br />63 m² Terrasse de
    63 m²
  • Cave de <br />2 m² Cave de
    2 m²
  • 1 box 1 box
  • 1 stationnement intérieur 1 stationnement intérieur
  • 5 stationnements extérieurs 5 stationnements extérieurs

Présentation de cette maison

Saint-Étienne-de-Montluc – Maison contemporaine avec piscine dans un environnement privilégié

Environ 266 m² au sol | 5 chambres | Parc arboré de 2 530 m²

À l’abri des regards, dans un quartier résidentiel calme et apprécié, cette propriété contemporaine offre un cadre de vie rare, mêlant volumes généreux, prestations soignées et ouverture sur la nature. Rénovée avec exigence, elle s’adresse à ceux qui recherchent de l’espace, de la lumière et une vraie qualité de vie à proximité de Nante…

Saint-Étienne-de-Montluc – Maison contemporaine avec piscine dans un environnement privilégié

Environ 266 m² au sol | 5 chambres | Parc arboré de 2 530 m²

À l’abri des regards, dans un quartier résidentiel calme et apprécié, cette propriété contemporaine offre un cadre de vie rare, mêlant volumes généreux, prestations soignées et ouverture sur la nature. Rénovée avec exigence, elle s’adresse à ceux qui recherchent de l’espace, de la lumière et une vraie qualité de vie à proximité de Nantes.

Des espaces de vie ouverts et lumineux
Dès l’entrée, la maison séduit par ses proportions équilibrées et sa circulation naturelle entre les pièces.
Le séjour, largement exposé au sud, profite d’une belle luminosité tout au long de la journée et se prolonge directement vers l’extérieur, créant une continuité fluide entre intérieur et jardin.

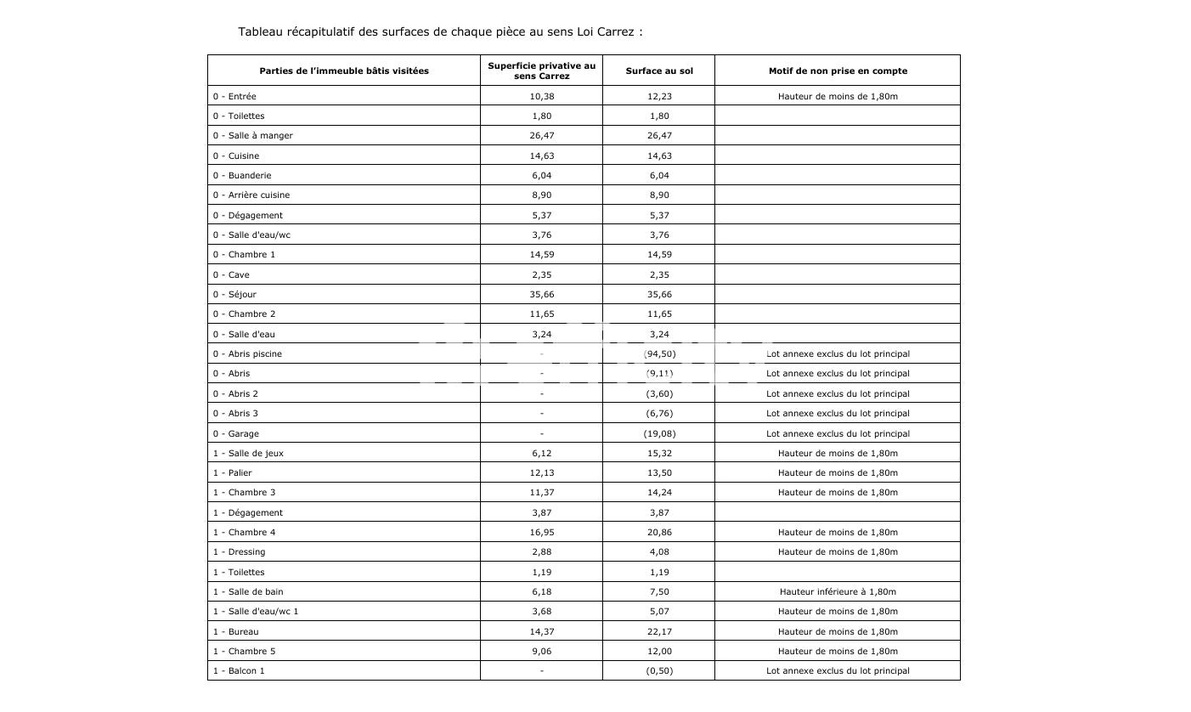
Le rez-de-chaussée propose :
- Une vaste pièce de vie réunissant salon et salle à manger
- Une cuisine équipée, fonctionnelle, complétée par une arrière-cuisine et une buanderie
- Deux suites de plain-pied, chacune avec salle d’eau
- Une cave à vin climatisée
- Une grande terrasse d’environ 63 m² tournée vers la piscine et les espaces verts

Un étage modulable selon les besoins

L’étage s’organise autour d’une mezzanine lumineuse desservant :
- Trois chambres, dont une suite parentale avec dressing et salle de bain
- Un bureau fibré, adapté au télétravail

Au-dessus du garage, une pièce indépendante offre de nombreuses possibilités : espace professionnel, salle de sport, atelier ou bureau, avec une vraie séparation des espaces de vie.

Un extérieur pensé pour durer
Implantée sur une parcelle close et paysagée de 2 530 m², la maison profite d’un environnement verdoyant et préservé :
- Piscine chauffée et couverte, utilisable sur une longue période
- Deux dépendances aux usages multiples
- Garage et plusieurs stationnements
- Équipements de sécurité discrets et intégrés (portail motorisé, alarme, vidéosurveillance)

Une propriété cohérente, confortable et parfaitement entretenue, située à moins de 25 minutes de Nantes, idéale pour une vie familiale ou un projet mêlant habitation et activité professionnelle.

Visite sur rendez-vous.
Visite virtuelle disponible sur demande.

---

En savoir plus sur ce logement

Les informations sur les risques auxquels ce bien est exposé sont disponibles sur le site Géorisques : http://georisques.gouv.fr

Référence: 196083
Mathieu Moine - EI - est Agent Commercial mandataire en immobilier, immatriculé au Registre Spécial des Agents Commerciaux du Tribunal de Commerce de Nantes sous le n°891443889. Siège social du mandant : effiCity, 48 avenue de Villiers - 75017 PARIS - Société par Actions Simplifiée, société au capital de 132 373,05 euros, immatriculée au RCS Paris 497 617 746 et titulaire de la Carte professionnelle CPI 7501 2015 000 002 025 - CCI Paris IDF - Caisse de Garantie : GALIAN Assurances 89 rue de la Boétie 75008 Paris

*Le prix de vente est 698 000 €. Le prix de vente est affiché hors frais de notaire, d'enregistrement et de publicité foncière. Les honoraires sont à la charge du vendeur. Voir les barèmes d'honoraire d'efficity.

Localisation du logement

Saint-Étienne-De-Montluc (44360)

Caractéristiques du bien

Caractéristiques techniques

  • Type du chauffage : Individuel
  • Mode de diffusion du chauffage : Radiateur
  • Énergie du chauffage : Electricité
  • Origine de l'eau : Individuel
  • Type d'eau chaude : Ballon
  • Mode de production d'eau chaude : Electricité

Caractéristiques juridiques et financières

  • Taxe foncière de 1920 euros
  • Bien vendu soumis au statut de la copropriété : Non

Caractéristiques de la propriété

  • Maison construite en 1991
  • Façade en Béton
  • Toit en Ardoise
  • Interphone

BILAN ÉNERGÉTIQUE

A
B
C
D
E
F
G
Le bilan énergétique correspond à la note la plus faible entre la classe énergie et la classe climat.

CLASSE ÉNERGIE

A
B
C
176 kWh/m².an
D
E
F
G
Consommations énergétiques (en énergie primaire) pour le chauffage, la production d'eau chaude sanitaire et le refroidissement (Indice de mesure : kWhEP/m2.an).
Montant moyen estimé des dépenses annuelles d'énergie pour un usage standard, établi à partir des prix de l'énergie de l'année 2021 : entre 2600.0 et 3570.0 €.

CLASSE CLIMAT

A
B
6 kgCO2/m².an
C
D
E
F
G
Émissions de gaz à effet de serre (GES) pour le chauffage, la production d'eau chaude sanitaire et le refroidissement (Indice de mesure : kgeqCO2/m².an).
DPE réalisé après le 01 juillet 2021

Partager :

Ces biens pourraient également vous intéresser